Eficiencia de las Plantas Potabilizadoras del Norte de Salta (Argentina)

Efficiency of the Water Treatment Plants in Northern Salta (Argentina)

 

Florencia S. Alvarez Dalinger1,2*,Lucia V. Laureano1,2 , Claudia N. Borja1,Verónica L. Lozano1,2 , Liliana B. Moraña1

 

1. Laboratorio de Calidad de Aguas. Facultad de Ciencias Naturales, Universidad Nacional de Salta, Av. Bolivia 5150. (A4408FVL) Salta, Argentina. floralvarezdalinger0@gmail.com

2. Consejo Nacional de Investigaciones Científicas y Técnicas, Facultad de Ciencias Naturales, Universidad Nacional de Salta, Av. Bolivia 5150 (A4408FVL) Salta. Argentina

 

Resumen

El Departamento General San Martín, en el norte de Salta (Argentina), posee más de 178.000 habitantes. Sus principales fuentes de agua son dos embalses, pozos subterráneos y puntos de extracción en los ríos Tartagal y Bermejo. El estudio evaluó el estado y la eficiencia de tratamiento de parámetros físicos, químicos y biológicos en las plantas potabilizadoras de Itiyuro, Embarcación y Tartagal, entre junio de 2018 y enero de 2020, mediante muestreos mensuales en ingresos y salidas. Los parámetros físicos y químicos se analizaron según normas APHA (American Public Health Association) y el fitoplancton mediante la técnica de Utermöhl. La reducción se calculó considerando turbidez, color y demanda química de oxígeno (DQO). La turbidez y el color superaron los límites del Código Alimentario Argentino en las muestras de salida. Aunque en algunos casos se logró más del 90% de reducción de turbidez, no fue suficiente. La DQO mostró una reducción máxima del 48% solo en Itiyuro, y menor en las otras PP. En los parámetros biológicos, la eficiencia fue baja: ninguna PP redujo más del 50% del fitoplancton total. Los resultados indican que los tratamientos actuales no garantizan agua segura. La persistencia de turbidez y la presencia de cianobacterias potencialmente productoras de cianotoxinas implican un riesgo sanitario a mediano y largo plazo.

Palabras clave: Agua segura; Potabilización; Fitoplancton, Itiyuro.

 

Abstract

The General San Martín Department, in northern Salta (Argentina), has a population of over 178,000 inhabitants. Its main water sources are two reservoirs, groundwater wells, and extraction points along the Tartagal and Bermejo rivers. This study evaluated the condition and treatment efficiency of physical, chemical, and biological parameters in the Itiyuro, Embarcación, and Tartagal water treatment plants between June 2018 and January 2020, through monthly sampling at plant inlets and outlets. Physical and chemical parameters were analyzed according to American Public Health Association (APHA), standards, and phytoplankton counts were performed using the Utermöhl technique. Treatment efficiency was calculated based on turbidity, color, and chemical oxygen demand (COD). Turbidity and color exceeded the limits established by the Argentine Food Code in outlet samples. Although turbidity removal occasionally exceeded 90%, it was still insufficient. COD reduction only reached a maximum of 48% at Itiyuro and was lower at the other WTPs. Biological treatment efficiency was low: none of the plants reduced total phytoplankton by more than 50%. Theese results suggest that the current treatment processes do not ensure the production of safe drinking water. The persistence of turbidity, wich is associated with potential biological contaminants, as well as the presence of cyanobacteria that can produce cyanotoxins, pose a significant health risk in the medium and long term.

Keywords: Safe water; Water treatment; Phytoplankton, Itiyuro.

 

Alvarez, F., Laureano, L. V., Borja, C. N., Lozano, V., & Moraña, L. (2025). Eficiencia de las Plantas Potabilizadoras del Norte de Salta (Argentina). Revista Ciencias Naturales, 3(2), 119–130. https://id.caicyt.gov.ar/ark:/s29535441/g33516xjq

 

Recibido: 18/08/2025                   Aceptado: 15/12/2025                    Publicado: 22/12/2025                            Editora: Adriana Alvarez

 

INTRODUCCIÓN

La contaminación del agua destinada a consumo humano representa una de las principales amenazas a la salud pública y puede incluso restringir el abastecimiento (WHO, 2022). El Programa de las Naciones Unidas para el Desarrollo (PNUD, 2019) reconoce la significativa influencia de la calidad del agua en la salud y el desarrollo de una población. Asegurar la calidad del agua no solo contribuye a prevenir enfermedades, sino también a evitar la propagación de agentes patógenos.

La expansión urbanística, agroganadera e industrialización, entre otros factores, incrementan la probabilidad de contaminación de las fuentes utilizadas para el abastecimiento de la población, ya sean ríos, embalses, aguas subterráneas, entre otros (Water, 2020). Ante esta situación, se hace necesario implementar métodos adicionales para tratar el agua. La eficacia de una planta potabilizadora de agua está directamente vinculada al cumplimiento de las normativas que regulan la calidad del agua suministrada, sin importar las variaciones en la calidad del agua de la fuente (Hartshorn et al., 2015).

Numerosos parámetros físicos, químicos y biológicos pueden utilizarse para evaluar la eficiencia de tratamiento de una planta potabilizadora. Dentro de los procedimientos físicos y químicos, uno de los más utilizados es la turbidez (Miljojkovic et al., 2009). La turbidez se relaciona con la presencia de sustancias coloidales, minerales u orgánicas en el agua, lo que la convierte en un posible indicador de contaminación (WHO, 2008). Elevados niveles de turbidez pueden brindar cierta protección a microorganismos contra los efectos de la desinfección, fomentar la proliferación de bacterias y aumentar la demanda de cloro lo que se traduce en mayores costos (Martínez Orjuela et al., 2020). Por lo anterior, valores elevados de turbidez en el agua representan un riesgo microbiológico para la salud humana y se recomienda incluirla en las determinaciones básicas de mayor frecuencia para el monitoreo de la calidad del agua suministrada a la población (WHO, 2008).

2

 
Otros parámetros que son comúnmente utilizados para evaluar la cantidad de materia orgánica en el agua son el color y la demanda química de oxígeno (DQO). El color en el agua, puede estar asociado a sustancias en solución o a sustancias en suspensión. La DQO es una medida del oxígeno requerido para oxidar todos los compuestos presentes en una muestra, tanto orgánicos como inorgánicos, por la acción de agentes fuertemente oxidantes en medio ácido y se expresa en mg O /L. Al igual que con la turbidez, concentraciones elevadas de DQO o de color pueden indicar cantidades considerables de materia orgánica, que a su vez puede deteriorar considerablemente las propiedades organolépticas, ocasionando un riesgo adicional para el consumidor por la potencial formación de subproductos de desinfección, durante la etapa de adición de cloro (Rodríguez et al., 2007; Sánchez, 2008).

En las últimas décadas, la proliferación de algas y cianobacterias en cuerpos de agua que se utilizan como suministro de agua es otra de las amenazas relacionada a la eutrofización de los sistemas producto del aumento en el uso de fertilizantes en la actividad agropecuaria y al cambio climático (Giannuzzi et al., 2011). En general, la mayoría de las plantas potabilizadoras no cuentan con sistemas de remoción de algas o cianobacterias, y esto se asocia probablemente a que estos parámetros no fueron foco en las décadas anteriores para evaluar la capacidad de remoción de estas. Una de las posibles consecuencias del crecimiento de cianobacterias es la producción y liberación de cianotoxinas en el agua, las cuales son resistentes a los tratamientos convencionales de potabilización por lo que pueden permanecer y llegar a los consumidores mediante los sistemas de distribución (Fernández et al., 2005; Merel et al., 2013). Los efectos del consumo agudo y/o crónico de agua contaminada con cianotoxinas podrán ser dermatológicos, neurotóxicos, gastrointestinales y a largo plazo cancerígenos, siendo promotoras de tumores (García, 2009; Sedan et al., 2017).

El objetivo de este trabajo fue evaluar la eficiencia de tratamiento de las principales plantas potabilizadoras de agua del Depto. San Martin, considerando para ello los parámetros turbidez, color verdadero, DQO, abundancia de cianobacterias, diatomeas, clorófitas y abundancia total del fitoplancton.

 

MATERIALES Y MÉTODOS

Área de estudio

El Departamento General San Martin se ubica al norte de la provincia de Salta, limitando al norte y al oeste con Bolivia, al este con el Departamento de Rivadavia y al sur con el de Orán. Con una población de 178.367 habitantes según el último censo nacional (INDEC, 2022), es el segundo departamento de la provincia con mayor población. Las principales fuentes de extracción de agua para potabilización en el departamento corresponden a los embalses Itiyuro y El Limón, fuentes superficiales en el rio Tartagal y Bermejo, y numerosos pozos de agua distribuidos en el departamento. El agua extraída se trata principalmente en

3 plantas potabilizadoras (PP) ubicadas en las localidades de Aguaray (Paraje Itiyuro), Tartagal y Embarcación (Figs. 1 y 2). La planta potabilizadora Itiyuro ubicada en Aguaray tiene un caudal de ingreso de 1.100 m3/h, la planta Tartagal 800 m3/h, y la planta Embarcación 200 m3/h. Estas plantas cuentan con sistemas tradicionales de potabilización que incluyen la aplicación de carbón activado, sulfato de aluminio diluido, procesos floculadores, cámaras decantadoras, sedimentadores y filtros de cloración. Solo la planta Itiyuro cuenta desde hace pocos años con un módulo de tratamiento de algas: el agua proveniente de los sedimentadores ingresa a una pre cámara donde se adiciona polielectrolito a fin de realizar una floculación en la etapa de flotación. El sobrenadante que se forma en la superficie producto del proceso de flotación (nata que contiene las algas y cianobacterias) es eliminado mediante barrido por aireación.

Muestreo

Se realizaron muestreos mensuales en las PP Itiyuro, Tartagal y Embarcación entre junio de 2018 y enero de 2020, considerando entrada (muestra en el ingreso sin tratamiento previo) y salida (muestra post tratamiento de potabilización) de cada planta. Las muestras para análisis físicos y químicos se tomaron en frascos de 500 mL y se mantuvieron

 

 

Figura 1. Ubicación de las tres plantas potabilizadoras (PP) estudiadas: Itiyuro, Tartagal y Embarcación, en la provincia de Salta.

 

 

Figura 2. Imágenes satelitales de las plantas potabilizadoras: A PP Tartagal, B PP Itiyuro y C PP Embarcación.

 

refrigerados hasta su análisis. Se determinó in situ (con sensor multiparamétrico Orion) las variables temperatura (°C), conductividad eléctrica (µS/cm), pH y oxígeno disuelto (mg/L), además la turbidez, con turbidímetro marca HACH (NTU). Los parámetros como sólidos totales y en suspensión (mg/L), color verdadero (UPtCo), nitratos, nitritos y amonio (mg N/L), fósforo reactivo soluble (mg P-PRS/L), demanda química de oxígeno (mg O /L), alcalinidad (mg CaCO /L) y Dureza (mg CaCO /L)

Se determinaron en laboratorio, según técnicas estandarizadas de APHA (American Public Health Association) (2005). Las muestras para recuentos biológicos se tomaron en frascos de 250 mL preservadas con lugol acidificado y refrigeradas hasta su análisis. Los conteos se realizaron, después de la sedimentación por 24 h, en cámaras combinadas usando un microscopio invertido Zeiss 40 CFL siguiendo a Utermöhl (1958). La identificación de especies se realizó utilizando bibliografía especializada como por ejemplo Komárek & Anagnostidis (1999), Komárková-Legnerová (1969); Komárek (2014), Krammer & Lange-Bertalot (1986), entre otras.

3

 
La eficiencia de tratamiento (% Reducción) se calculó para los parámetros: turbidez, color verdadero (CV), DQO, cianobacterias, clorófitas, diatomeas y fitoplancton en función de la siguiente ecuación:

 

En el caso de las muestras que presentaban valores superiores para alguna de las variables consideradas en la salida de la planta, en comparación a la entrada, se consideró que la remoción fue del 0%. Las muestras que no presentaban abundancias fitoplanctónicas (0 cels/mL) ni en el ingreso ni en el egreso de la planta, no fueron consideradas en el cálculo de remoción.

Análisis Estadísticos: Los análisis estadísticos se realizaron con el programa Infostat (Di Renzo et al., 2010). Los datos analizados no cumplían los requisitos de normalidad y/o homogeneidad de varianzas por lo que se utilizó la prueba de Kruskall Wallis para comparar las 3 plantas potabilizadoras. En el caso de la comparación de valores de entrada y salida de una misma planta, esta se realizó con el test de Mann Whitney.

 

RESULTADOS

Variables físicas y químicas

Las muestras recolectadas previas al tratamiento en las 3 plantas potabilizadoras mostraron resultados similares en cuanto a pH, con medias de 7.78 (±0.5), 7.5 (±0.49) y 7.77 (±0.28) para entrada en Embarcación (EE), entrada en Itiyuro (EI) y entrada en Tartagal (ET) respectivamente, manteniéndose en el grado de la neutralidad. En cuanto a la conductividad eléctrica, los valores registrados en Tartagal fueron superiores a las demás, siendo diferentes estadísticamente (H=8.24, p=0.0163). El contenido de nitrógeno soluble (NIS) también presentó diferencias significativas entre las plantas siendo mayor en la EI (H=6.65, p=0.0356), mientras que el PPRS no presentó diferencias significativas. Por su parte, los valores de turbidez fueron de 79.9 (±171.47 NTU) en la EE, de 63.27 (±135.6 NTU) en ET y13.91 (±19.04 NTU) en EI. Los valores de los demás parámetros físicos y químicos se presentan en el Suplemento.

En cuanto a los valores reportados en las muestras posteriores a los tratamientos de potabilización, se observó que en la planta Embarcación, el único parámetro que difirió estadísticamente en la salida con respecto al ingreso de la misma planta fue la turbidez (U=113, p=0.0252), en el caso de la planta Itiyuro se observaron diferencias en la turbidez (U=441, p≤0.001) y la concentración de NIS (U=379, p=0.021); y por último en la planta Tartagal ninguno de los parámetros reportó diferencias significativas luego del tratamiento. Los datos se presentan en la Tabla 1 (en color rojo los que superan los límites establecidos por el Código alimentario argentino, CAA).


 

 

Planta Potab.

Variable

Unidad

Media

DE

Mínimo

Máximo

 

 

 

 

Salida

Embarcación (SE)

pH

 

7,64

0,39

6,75

8,11

CE

µs/cm

402,42

142,3

192,6

605

Turbidez

NTU

4,03

4,38

0,71

14,4

Dureza

mgCaCO /L

3

362,87

481,4

110,4

1874,4

Alcalinidad

mgCaCO /L

3

77,7

47,87

23,28

156

NIS

mg/L

1,33

0,45

0,71

2,24

PPRS

mg/L

0,22

0,31

0,01

1,04

DQO

mgO /L

 2

101,94

42,5

3,25

170

CV

UPtCo

7,75

4,52

2

15

 

 

 

 

Salida Itiyuro (SI)

pH

 

7,53

0,49

6,64

8,24

CE

µs/cm

677,23

176,7

285,4

937,5

Turbidez

NTU

2,27

3,5

0,46

17

Dureza

mgCaCO /L

3

422,7

612,07

108

295

Alcalinidad

mgCaCO /L

 3

115,98

58,23

28

209

NIS

mg/L

0,83

0,24

0,51

1,33

PPRS

mg/L

0,17

0,29

0,02

1,04

DQO

mgO /L

 2

129,66

112,07

1,73

560,14

CV

UPtCo

21,7

38,65

2

173

 

 

 

 

Salida Tartagal (ST)

pH

 

7,69

0,35

7,02

8,26

CE

µs/cm

1123,6

185,2

622,1

1262

Turbidez

NTU

4,88

4,54

1,5

17,2

Dureza

mgCaCO /L

3

573,7

748,2

79,15

267

Alcalinidad

mgCaCO /L

 3

147,2

70,06

80

258

NIS

mg/L

1,1

0,43

0,44

1,84

PPRS

mg/L

0,07

0,07

0,01

0,23

DQO

mgO /L

 2

126,12

102,06

1,38

357

CV

UPtCo

7,8

3,7

3

15

 

Tabla 1: Valores promedio (Media), desviación estándar (DE), mínimo (Min) y máximo (Max) de parámetros físicos y químicos medidos en el agua de salida de tres plantas potabilizadoras: Salida Embarcación (SE), Salida Itiyuro (SI) y Salida Tartagal (ST). CE: conductividad eléctrica; NIS: nitrógeno inorgánico soluble; PPRS: fósforo reactivo soluble; DQO: demanda química de oxígeno; CV: color verdadero. *Los valores que superan los límites establecidos por el Código Alimentario Argentino se indican en color rojo.


 

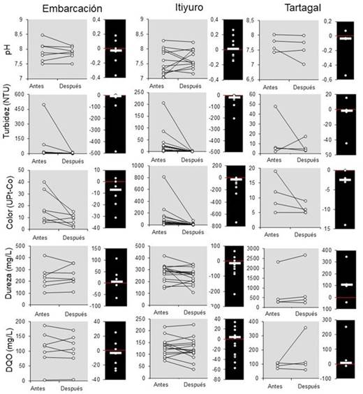
En Fig. 3 se muestra la variación entre entrada y salida de cada planta para algunas variables físicas y químicas.

Tratamiento de variables físicas y químicas:

En el caso de la PP Itiyuro, la menor eficiencia de tratamiento se observó para la DQO, con una reducción máxima de solo el 48% y ausencia de reducción en el 56% de las muestras (Tabla 2). En cuanto a la turbidez, el 15% de las muestras a la salida presentaron valores superiores a los recomendados por el CCA, mientras que para el CV el 62% de las muestras superaron los límites establecidos.

En la PP Embarcación, nuevamente la DQO fue el parámetro más crítico, con una reducción máxima de apenas el 21%. Además, el 71% de las muestras presentaron valores de CV por encima del límite propuesto.

Por último, en la PP Tartagal los valores máximos de reducción para las tres variables fueron inferiores a los registrados en las demás plantas, siendo la DQO la de menor reducción. En este caso, ninguna muestra mostró valores

 

 

Figura 3. Comparación de los valores de parámetros físicos y químicos en el agua antes y después del tratamiento en las plantas potabilizadoras: Tartagal, Itiyuro y Embarcación.

 

Itiyuro

Embarcación

Tartagal

Variables / %Reducción

Mínimo

Máximo

Mínimo

Máximo

Mínimo

Máximo

Turbidez

0

99,02

3,23

98,02

0

93,08

CV

0

99,23

0

80

0

73,68

DQO

0

48,57

0

21,17

0

13,07

 

 

 
Tabla 2. Porcentajes mínimos y máximos de reducción alcanzados para los parámetros de turbidez (NTU), color verdadero (CV, UPt-Co) y demanda química de oxígeno (DQO, mg O2/L) en las plantas potabilizadoras Itiyuro, Embarcación y Tartagal.

 

de CV en la salida por encima de lo propuesto por el CAA, aunque debe considerarse que los valores de ingreso para CV y turbidez fueron menores que los observados en Itiyuro y Embarcación.

Variables biológicas

En cuanto a los grupos fitoplanctónicos, se observó que en los ingresos de las plantas potabilizadoras Embarcación y Tartagal predominaron las cianobacterias con una media de 527 cels/mL (±796 cels/mL) y 11309 (±15878 cels/mL) respectivamente, mientras que en la EI predominaron las diatomeas con una media de 415 (±866 cels/mL). En todos los casos, las clorófitas nunca superaron las 250 cels/mL.

En Fig. 4 se muestran las variaciones de las variables biológicas consideradas, antes y después del tratamiento en cada planta potabilizadora.

En cuanto a la eficiencia de tratamiento para fitoplancton total, se observó que la Planta Potabilizadora Itiyuro no logró reducir la presencia de este grupo en el 43 % de las muestras analizadas. En el caso de la PP Embarcación, no se observó reducción en el 50 % de las muestras, mientras que en la PP Tartagal fue del 25 % (Tabla 3).

 

 

Figura 4. Variación de los parámetros biológicos (abundancia de cianobacterias y fitoplancton total) antes y

después del tratamiento en las plantas potabilizadoras Tartagal, Itiyuro y Embarcación.

 

 

Itiyuro

Embarcación

Tartagal

Variables / %Reducción

Mínimo

Máximo

Mínimo

Máximo

Mínimo

Máximo

Cianobacterias

0

100

0

100

0

100

Clorófitas

0

100

0

100

0

100

Diatomeas

0

100

0

100

0

100

Fitop. Total

0

100

0

100

0

100

 

 

 
Tabla 3. Porcentajes mínimo y máximo de reducción de algas y cianobacterias en las plantas potabilizadoras Itiyuro, Embarcación y Tartagal.

 

DISCUSIÓN

En el departamento General San Martin el acceso a agua segura sigue siendo una deuda desde hace décadas. Históricamente, la zona registra problemas en el suministro, presentando cortes del servicio recurrentes, que en ocasiones duran días y es entonces apoyado por la repartición de agua en camiones cisterna. Sumado a lo anterior, la zona registra unas de las temperaturas más elevadas de la provincia, alcanzando fácilmente los 45°C en verano y una pobreza estructural importante, en donde el 28% no tiene aún acceso a agua de red en sus domicilios (INDEC; 2022).

Las principales plantas potabilizadoras de la zona, utilizan sistemas convencionales de tratamiento para el agua cruda mediante procesos de clarificación física y química (coagulación, floculación, sedimentación y filtración), sin embargo, en función de nuestros resultados, estos tratamientos no son suficientes.

En el caso de los parámetros físicos y químicos analizados, la turbidez es uno de los más preocupantes. Martínez Orjuela et al., 2020 demostraron que existe una correlación lineal positiva de media a fuerte entre la turbidez y los coliformes fecales. Es por esto que el parámetro podría ser considerado como un indicador rápido dentro de la evaluación operacional de una planta potabilizadora. Por otro lado, elevados valores de turbidez conllevan mayores costos de cloración, encareciendo el servicio. En función del código alimentario argentino (CAA, 2007), el agua potable no debe superar los 3 NTU de turbidez y las 5 UPtCo. Si bien en función de los cálculos de tratamiento las plantas potabilizadoras consideradas logran remover un buen porcentaje del material particulado sigue siendo insuficiente; considerando las 3 PP del norte de Salta, se observó que el 76% de las muestras superaron el nivel permitido de color y el 32% el nivel de turbidez en la salida del tratamiento.

Las floraciones de algas y cianobacterias son eventos comunes en las últimas décadas en cuerpos de agua de Salta que luego se utilizan para abastecimiento (Alvarez Dalinger, et al., 2023). Sin embargo, la determinación de cianobacterias o sus posibles cianotoxinas no se encuentra requerida por las reglamentaciones nacionales en el CAA. En Salta la mayoría de las plantas potabilizadoras no tienen tratamiento especial para remoción de estas floraciones. Un ejemplo de tratamiento en la provincia es la planta potabilizadora de Campo Alegre, en donde las pruebas piloto indican que los tratamientos con ozono pueden ser eficientes en la remoción de fitoplancton (Salusso & Moraña, 2023). En el caso de la planta Itiyuro, hace pocos años se instaló en la misma un sistema de remoción de algas por sedimentación, aunque en la actualidad no funciona plenamente. Sumado a lo anterior, en la salida de la planta potabilizadora Itiyuro se han reportado resultados positivos para microcistinas, que pueden ser cancerígenas, y para lo cual ninguna de las plantas potabilizadoras de la provincia tiene tratamiento (Alvarez Dalinger et al., 2022). Algunas alternativas interesantes a considerar a futuro son los tratamientos biológicos o de biofiltración (Arango Ruiz, 2004) o tratamientos químicos, entre otros.

En función de análisis anteriores realizados en el Laboratorio de Calidad de Aguas, en convenio con el ente regulador de los servicios públicos (ENRESP), se han emitido en varias oportunidades alertas y restricciones en el uso del agua por parte de la población. Por ejemplo, en el mes de julio de 2023, la resolución 994/23 del ENRESP recomienda el uso del agua de red solo para higiene y limpieza y no para consumo, producto de la cantidad de cianobacterias reportadas en muestras de agua post tratamiento. Esto marca la importancia de continuar con monitoreos frecuentes que permitan dar alertas tempranas.

El hecho de reportar valores de algas, cianobacterias, turbidez, color y DQO mayores en las salidas (post tratamiento) que, en las entradas, puede indicar que, durante el tiempo de residencia del agua en las plantas, ciertos factores generan que los parámetros empeoren. Esto puede deberse a una serie de causas entre las que podrían encontrarse filtros colmatados o en malas condiciones, como así también las cañerías y tanques que almacenan el agua durante el tratamiento. La proliferación de algas y cianobacterias puede darse bastante rápido, si el tiempo de retención es elevado y los decantadores o tanques se encuentran sin cubierta, expuestos al sol y a elevadas temperaturas típicas de la zona y si además existen deficiencias de limpieza. Por otro lado, también podría considerarse el ingreso de agua cruda por fugas internas o válvulas defectuosas, ingreso de sedimentos y/o algas desde tanques de almacenamiento contaminados, o una dosificación incorrecta de coagulantes. En resumen, estos resultados indicarían una falta de mantenimiento en las tres plantas potabilizadoras estudiadas, lo cual debe identificarse y solucionarse.

 

CONCLUSIÓN

La falta de agua de calidad es uno de los problemas más serios del norte salteño. Los tratamientos de potabilización actuales no son suficientes para eliminar los contaminantes físicos, químicos y biológicos del agua tratada. En consecuencia, varios parámetros medidos en muestras post tratamiento superan los niveles exigidos por el CAA. De todos estos, los más preocupantes son la turbidez, DQO y la abundancia de cianobacterias potencialmente tóxicas (aunque este último no se encuentre legislado). Los muestreos periódicos permiten detectar estas anomalías y alertar a la empresa prestataria para tomar medidas, y a la población que es abastecida. Ante nuevos desafíos en la contaminación del agua, como las floraciones de algas, cianobacterias y la producción de toxinas, es necesario adecuar los tratamientos y tecnologías, para asegurar agua segura.

 

AGRADECIMIENTOS

Agradecemos a la Facultad de Ciencias Naturales de la Universidad de Salta, al Con- sejo Nacional de Investigaciones Científicas y Técnicas, y al Ente Regulador de los Servicios Públicos de Salta (ENRESP) por colaborar en la realización de los muestreos en las plantas potabilizadoras.

REFERENCIAS

Alvarez Dalinger, F. S., V. L. Lozano, C. N. Borja, L. B. Moraña, & M. M. Salusso. (2023). Short-Term Meteorological Conditions Explain Cyanobacterial Blooms in a Tropical Reservoir. Water, 15(2), 302. https://doi. org/10.3390/w15020302

Alvarez Dalinger, F.S., L.B. Moraña, & M. M. Salusso. (2022). Cianobacterias y potencial de producción de cianotoxinas en los embalses Itiyuro y Limón y planta potabilizadora Itiyuro (Salta, Argentina). Congreso Argentino de la Sociedad de Toxicología y Química Ambiental SETAC. Mar del Plata, Argentina.

American Public Health Association (APHA), American Water Works Association, & Water Environment Federation. (2005). Standard methods for the examination of water and wastewater (21a ed.).

Arango Ruiz, Á. (2004). La biofiltración, una alternativa para la potabilización del agua. Revista Lasallista de Investigación, 1(2),61-66.

Código Alimentario Argentino (CAA). (2007). Artículo 982, Resolución 8/2007 y 196/2007.

Di Rienzo, J., M. Balzarini, L. Gonzalez, F. Casanoves, M. Tablada, & C. W. Robledo. (2010). Infostat: software para análisis estadístico. Grupo InfoStat

Fernández, A. M. C., I. M. Navarro, Á. J. Gallego, G. R. Kuhn, S. P. Sánchez, &

A. I. P. Ortega. (2005). Cianobacterias y cianotoxinas: Necesidad de su control en el agua de consumo humano. Revista de Salud Ambiental, 5(2), 137-141.

García, S. I. (2009). Cianobacterias y cianotoxinas, impactos sobre la salud humana. http:// www. ataonline. org. ar/bibliotecavirtual/ documentos_ utilies/Cianobacterias_y_ Cianotoxinas. pdf

Giannuzzi, L., M. V. Amé, D. Andrinolo, L. Bauzá, R. Benítez, E. de Tio, R. Echenique, M. Hansen, M. A. Kolman, T. Petcheneshsky, L. Rosso, M. Ruiz, G. L. Salerno, D. Sedan, A. Daniel, & A. Wunderlin. (2011). Cianobacterias como determinantes ambientales de la salud. Buenos Aires, Argentina.

Hartshorn, J., G. Prpich, A. Upton, J. Macadam, B. Jefferson, & P. Jarvis. (2015). Assessing filter robustness at drinking water treatment plants. Water and Environment Journal, 29(1), 16-

26. https://doi.org/10.1111/wej.12087

Instituto Nacional de Estadística y Censos de la República Argentina (INDEC). (2022). Censo Poblacional Nacional 2022.

Komárek, J., & K. Anagnostidis (1999). Chroococcales. En: H. Ettl, G. Gärtner, H. Heynig y D. Mollenhaver. βwasserflora von Mitteleuropa, 19/1: 1-548. Gustav Fischer.

Komárek, J. (2014). Modern classification of cyanobacteria. En N. K. Sharma, A. K. Rai, & L. J. Stal (Eds.), Cyanobacteria: An economic perspective pp. 21–39. Wiley-Blackwell. https://doi.org/10.1002/9781118402238.ch2

Komárková-Legnerová, J. (1969). The systematics and ontogenesis of the genera Ankistrodesmus Corda and Monoraphidium gen. nov. In: B. Fott (Ed.), Studies in Phycology. pp. 75-144. Academia Publishing House of the

Czechosolvak Academy of Sciences.

Krammer K., & H. Lange-Bertalot (1986). Bacillariophyceae, 1. Teil: Naviculaceae. En: H. Ettl, G. Gärtner, H. Heynig, & D. Mollenhaver (eds.). βwasserflora von Mitteleuropa, Band 2/1, pp. 1-876. Gustav Fisher Verlag.

Martínez Orjuela, M. R., J. Y. Mendoza-Coronado, B. E. Medrano-Solís, L. M. Gómez-Torres, & C. A. Zafra-Mejía. (2020). Evaluación de la turbiedad como parámetro indicador del tratamiento en una planta potabilizadora municipal. Revista UIS Ingenierías, 19(1),15-24. https://doi.org/10.18273/revuin. v19n1-2020001

Merel, S., D. Walker Chicana, R. Snyder, S. Baurès, & O. Thomas. (2013). State of knowledge and concerns on cyanobacterial blooms and cyanotoxins. Environment International, 59, 303–327. https://doi.org/10.1016/j. envint.2013.06.013

Miljojkovic, D., I. Trepsic, & M. Milovancevic. (2009). Assessment of physical and chemical indicators on water turbidity. Physica A: Statistical Mechanics and its Applications., 527, 121-171. https://doi.org/10.1016/j. physa.2019.121171

Programa de las Naciones Unidas para el Desarrollo (PNUD). (2019). Objetivos de Desarrollo Sostenible. Programa de las Naciones Unidas para el Desarrollo. Disponible en: https:// www.undp.org/content/undp/es/home/ sustainable-development-goals.htm

Rodríguez, M. J., G. Rodríguez, J. Serodes, & R. Sadiq. (2007). Subproductos de la desinfección del agua potable: formación, aspectos sanitarios y reglamentación. Interciencia, 32(11), 749-756.

Salusso, M. M., & L. B. Moraña. (2023). Eficiencia de remoción de microalgas por tratamiento de ozono en planta piloto en un reservorio de Sudamérica. Lilloa, 60(1), 1-15. https://doi. org/10.30550/j.lil/2023.60.1/2023.03.02

Sánchez, M. O. (2008). Subproductos de la desinfección del agua por el empleo de compuestos de cloro. Efectos sobre la salud. Higiene y Sanidad Ambiental, 8, 335-342.

Sedan, D., & D. Andrinolo. (2017). Cianobacterias y cianotoxinas. Efectos en la salud humana. En Cianobacterias como determinantes ambientales de la salud Vol. 4, pp. 67–78. Ministerio de Salud de la Nación.

Utermöhl H. (1958). Zur Vervollkomrnnung der quantitativen Phytoplankton-Methodic. Internationale Vereinigung für Theoretische und Amgewandte Limnologie: Mitteilung , 9,1-38. https://doi.org/10.1080/05384680.1958.11904091

Water, U. (2020). Water and climate change. The United Nations World Water Development Report.

World Health Organization (WHO). (2008). Guidelines for drinking-water quality: second addendum. Vol. 1, 3rd ed. Recommendations. World Health Organization. https://www. who.int/publications/i/item/9789241547611

World Health Organization (WHO). (2022). Guidelines for Drinking-water Quality (4th ed.). https://www.who.int/publications/i/ item/9789240045064

 

SUPLEMENTO

 

 

Planta Potab.

Variable

Unidad

Media

DE

Min

Max

 

 

 

 

 

Embarcación (EE)

pH

 

7,78

0,5

6,81

8,48

CE

µs/cm

496,6

369,4

173,7

1334,1

Turbidez

NTU

79,93

171,5

1,16

498

Dureza

mgCaCO /L

 3

213,7

107,8

74,98

418

Alcalinidad

mgCaCO /L

3

90,02

63,92

34,92

208,6

NIS

mg/L

0,91

0,28

0,55

1,48

PPRS

mg/L

0,09

0,03

0,06

0,13

DQO

mgO /L

 2

96,26

63,96

1,49

186,7

CV

UPtCo

17,38

12,72

6

40

 

 

 

 

 

Itiyuro (EI)

pH

 

7,5

0,49

6,67

8,3

CE

µs/cm

678

134,78

450,1

900,3

Turbidez

NTU

63,27

135,63

0,4

535

Dureza

mgCaCO /L

 3

271,8

72,08

146

419

Alcalinidad

mgCaCO /L

3

122,76

65,33

30

238,6

NIS

mg/L

1,08

0,036

0,55

1,79

PPRS

mg/L

0,1

0,08

0,04

0,38

DQO

mgO /L

 2

131,46

37,57

72,8

217,86

CV

UPtCo

118

198,6

3

812

 

 

 

 

 

Tartagal (ET)

pH

 

7,77

0,28

7,43

8,06

CE

µs/cm

915,72

287,37

583,5

1158

Turbidez

NTU

13,9

19,04

1,99

47,7

Dureza

mgCaCO /L

 3

297,65

78,32

235

430,1

Alcalinidad

mgCaCO /L

3

127,6

73,74

34

232,8

NIS

mg/L

0,7

0,16

0,49

0,82

PPRS

mg/L

0,18

0,22

0,02

0,55

DQO

mgO /L

 2

95,68

18,51

68,6

113,13

CV

UPtCo

11,6

5,41

5

19

 

Parámetros físicos y químicos medidos en el agua previo al tratamiento en cada planta potabilizadora: Embarcación (EE), Entrada Itiyuro (EI) y Entrada Tartagal (ET). Valores promedio (Media), desviación estándar (DE), mínimo (Min) y máximo (Max). CE: conductividad eléctrica; NIS: nitrógeno inorgánico soluble; PPRS: fósforo reactivo soluble; DQO: demanda química de oxígeno; CV: color verdadero.